Bem-vindos ao APSID Blog
Grato pela sua visualização. Agradeceríamos se ajudasse o blog a chegar nas pessoas que mais precisam deste tipo de conteúdo, partilhando com mais pessoas, deixando teu comentário ou sugestão sobre o blog. Subscreva-se e esteja a par de todas as informações postadas neste blog. Ajude a ajudar…
Dica de matemática
Passagem de um factor para dentro e fora do radical
Passagem para dentro do radical
Na
passagem de um factor para dentro do radical, multiplica-se o expoente deste
factor pelo índice do radical. Para qualquer valores a e b números reais R onde b é maior que 0.
Resumindo:
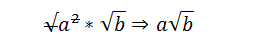
Passagem de um factor para fora do radical
Na
passagem de um factor para fora do radical, decompõe-se o radicando em factores
primos e aplica-se as propriedades de multiplicação de radicais, sendo a e b maiores ou igual a 0. Ou seja:
Resumindo:
Para
passar o factor para fora do radical, divide-se o valor do expoente da base do
radicando (o factor em que se pretende tirar do radical) pelo índice do
radical.
Nesse
caso,
- Separamos o factor que pretendemos tirar do radical do outro ou outros para melhor percepção, mas sempre seguindo a regra.
- Passamos o factor para fora do radical consoante as regras.









1 Comentários
Obrigado pelos conteúdos ricos
ResponderEliminarContinue assim!